안녕하세요 심플광학입니다.
오늘은 분광학과 파동광학에서 매우 중요한 요소인 회절격자를 공부해 볼게요.

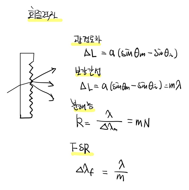
회절격자란?
회절격자는 매우 많은 수의 슬릿이 일정한 간격으로 배열된 구조물이며,
각 슬릿을 통과한 빛이 서로 간섭하여 규칙적인 회절 패턴을 만들어내요
슬릿이 많아질수록, 간섭 조건이 매우 정교해져서 빛을 파장별로 정확히 분리할 수 있는 구조가 됩니다.
쉽게 말해, 회절격자는 빛을 분해하는 프리즘 역할을 하는 장치라고 생각하면 좋을 것 같아요.
회절격자 방정식은
광경로차 ΔL = a(sin θm - sinθi)입니다.
a는 슬릿 간격이에요.
이 광경로차 가 파장의 정수배이면 밝은 무늬가 형성됩니다.
ΔL = a(sin θm - sinθi) = mλ
회절격자에서의 회절 무늬와 이중 슬릿에서의 회절 무늬의 차이는 밝은 무늬가 형성되는 조건은 동일하지만, 회절격자에서는 다중 간섭 효과에 의해서 밝은 무늬가 형성되는 각도에서 조금만 벗어나도 회절광의 세기가 거의 영으로 떨어지기 때문에 회절 무늬가 좁고 예리하게 형성된다는 것입니다!
이러한 효과 때문에 회절격자는 효율적인 분광 분석기로 사용됩니다.
회절격자 종류
1. 투과형 회절격자 :
유리 기판 등에 슬릿이 새겨진 구조
2. 반사형 회절격자.
거울처럼 반사하며 회절 효과 생성
3. 경사형 회절격자
특정 파장에서 최대 회절 효율을 내도록 각도 조절
회절격자의 분해능
R = λ/Δλm = mN
슬릿이 많을수록, 높은 차수를 사용할수록 분해능이 높아집니다.
자유 스펙트럼 영역 (Free Spectral Range, FSR)
FSR은 두 개의 인접 차수 (m, m+1)가 겹치지 않고 구별 가능한 최대 파장차이입니다.
Δλf = λ/m
m차가 높아질수록 분광 능력은 좋아하지지만, 반대로 스펙트럼이 겹칠 위험이 커진다는 의미입니다!

자 이제 누가 회절격자에 대해 물어보면 “회절격자는 많은 슬릿을 이용해 빛의 간섭을 정밀하게 만들어주는 장치이며 슬릿 수가 많을수록 회절 패턴은 예리해지고 분광 성능이 좋아져”라고 대답하면 됩니다 심플하죠?
A diffraction grating is a device that uses many slits to create precise interference patterns of light. The more slits it has, the sharper the diffraction pattern becomes, resulting in better spectral performance.
.
'평생 광학을 해보자 > 심플 광학' 카테고리의 다른 글
| No79 프라운호퍼 회절 VS 프레넬 회절 (0) | 2025.12.05 |
|---|---|
| No78 분광 (0) | 2025.12.03 |
| No76 분해능 (0) | 2025.11.30 |
| No75 원형 개구에 의한 회절_레일리 기준 (0) | 2025.11.28 |
| No74 사각형 개구에 의한 회절 (0) | 2025.11.26 |